Statistics (STAT)
Add-on for the KLIPPEL Analyzer System
- Statistical analysis of KLIPPEL data (QC and R&D)
- Interactive limit definition and export
- Manual or automatic data pool assignment
- Histograms and curve statistics
- Dynamic yield calculation based on defined limit
- Cross-section (distribution) views of curve data
- Dependency plots for showing any dependence (e.g. fs versus temperature)
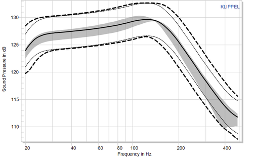
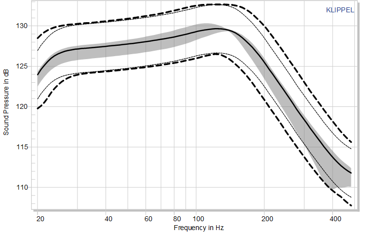
The Statistical Analysis (STAT) module is a powerful tool for comparing and analyzing test data from the production line or prototype batches. Especially for small and medium-sized batched or prototypes, this tool is handy and efficient. For large scaled data it is recommended to use 3rd party tools. Visualizing the min/max range and the variance of a data pool becomes an easy task. The module reads Klippel (RnD and QC) data and displays the statistical information in charts and tables. Test objects are organized in pools to help compare the statistics of all test results depending on their grouping. Pools may be assigned manually, semi-automatically (by limit thresholds), or fully automatically (e.g. via limits). STAT helps you with root cause analysis, comparing design options, classifying data much more.



